JVA triệu hồi JEEP WRAGLER và GLADIATOR do đèn báo lỗi động cơ
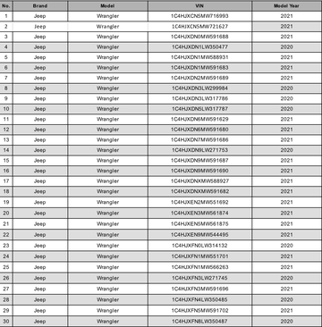
Công ty TNHH Thương Mại JVA TP.HCM (JVA), nhà nhập khẩu và phân phối ủy quyền chính thức thương hiệu Jeep - RAM tại Việt Nam, vừa nhận được thông báo triệu hồi từ nhà sản xuất FCA US LLC với hai dòng xe Jeep Wrangler 2018 - 2022 (JL) và Jeep Gladiator 2020 - 2022 (JT) do liên quan đến đèn cảnh báo trên cụm đồng hồ táp-lô. (Có danh sách số VIN đính kèm).
Cụ thể, trên dòng xe Jeep Wrangler, đèn CEL/MIL (đèn cảnh báo lỗi động cơ) có thể không sáng khi hệ thống cần cảnh báo. Trong khi đó, trên dòng xe Jeep Gladiator, đèn CEL/MIL có thể bị hoán đổi vị trí với đèn báo khoang hành lý. Tình trạng này có thể khiến người sử dụng không nhận biết kịp thời các cảnh báo kỹ thuật của xe trong quá trình vận hành.
Phương án khắc phục: Đội ngũ kỹ thuật JVA sẽ tiến hành kiểm tra hoạt động của đèn CEL/MIL trên cụm đồng hồ. Nếu đèn hoạt động bình thường, xe được xác nhận không bị ảnh hưởng. Trường hợp phát hiện đèn không sáng hoặc hiển thị sai vị trí, JVA sẽ cập nhật phần mềm hệ thống để khắc phục theo hướng dẫn của nhà sản xuất.
Lưu ý: Khách hàng có xe thuộc diện triệu hồi vui lòng liên hệ JVA để được kiểm tra và xử lý trong thời gian sớm nhất.
Ông Lê Đắc Đại, Phó Tổng Giám đốc JVA, cho biết: “Chúng tôi đang phối hợp chặt chẽ với nhà sản xuất FCA US LLC nhằm nhanh chóng triển khai kiểm tra và khắc phục cho khách hàng. Việc công bố thông tin triệu hồi được thực hiện nhanh chóng, chủ động nhằm đảm bảo khách hàng nắm rõ tình trạng xe và yên tâm khi sử dụng.”
JVA khẳng định cam kết bảo dưỡng, sửa chữa và tiếp tục đảm bảo phục vụ khách hàng Jeep - RAM lâu dài trong tương lai với tiêu chuẩn chính hãng từ FCA US LLC. Khách hàng lòng liên hệ Hotline dịch vụ: 0204 777 9999 - 555 hoặc 0888 229 522.
Bài viết nổi bật
Bài viết mới nhất
Cùng Skoda Kushaq Vẽ Trọn Việt Nam – Hành trình trải nghiệm ý nghĩa dành cho khách hàng yêu khám phá
Cùng Skoda Kushaq Vẽ Trọn Việt Nam không đơn thuần là một chuỗi hành trình trải nghiệm xe, mà là dấu mốc đặc biệt đánh dấu 1 năm Skoda Kushaq chính thức hiện diện tại Việt Nam — một năm đồng hành cùng khách hàng trên mọi cung đường, mọi khoảnh khắc và mọi hành trình khám phá cuộc sống.Cận cảnh Audi S6 Sportback e-tron với giá bán 4,2 tỷ đồng tại Việt Nam
Audi Việt Nam chính thức giới thiệu Audi S6 Sportback e-tron với giá bán 4,2 tỷ đồng – mẫu sedan thuần điện hiệu suất cao đầu tiên thuộc dòng S tại Việt Nam.Triển lãm AUTOTECH & ACCESSORIES 2026 VÀ CONS & TRANS 2026 chính thức khai mạc
Triển lãm Quốc tế lần thứ 22 về Công nghiệp Ô tô, Xe máy, Xe điện và Công nghiệp hỗ trợ (Autotech & Accessories 2026) và Triển lãm Quốc tế về Máy xây dựng, Đường sắt, Xe chuyên dụng, Công nghệ và Hạ tầng giao thông vận tải (Cons & Trans 2026) đã chính thức mở cửa đón khách tham quan và giao thương. Hai triển lãm sẽ diễn ra từ ngày 21 – 24/05/2026 tại Trung tâm Hội chợ và Triển lãm Sài Gòn (SECC), 799 Nguyễn Văn Linh, phường Tân Mỹ, thành phố Hồ Chí Minh.Volvo Car Việt Nam giới thiệu trung tâm Dịch vụ Volvo Car Đông Saigon
Tiếp tục hành trình chinh phục sự hài lòng của khách hàng, chính thức đưa vào hoạt động trung tâm Dịch vụ mới từ đầu năm 2026. Tọa lạc tại phía Đông Sài Gòn, đây là cơ sở dịch vụ được đầu tư toàn diện và hiện đại, thiết lập một tiêu chuẩn mới về trải nghiệm hậu mãi theo đúng tiêu chuẩn Volvo Cars toàn cầu.Lexus LM350 2026: Giá lăn bánh và khuyến mãi T5/2026, màu sắc, đánh giá, thông số kỹ thuật
Bảng giá xe Lexus LM350 2025 & khuyến mãi, trả góp. Đánh giá chi tiết từ chuyên gia, ưu nhược điểm và so sánh với các dòng xe cùng phân khúc. Xem ngay!VinFast Thủ Dầu Một - Kỷ Nguyên Xanh chính thức khai trương
VinFast Thủ Dầu Một - Kỷ Nguyên Xanh đã chính thức cắt băng khánh thành showroom mới vào sáng nay (15/05), đánh dấu một cột mốc quan trọng trong chiến lược phủ sóng hạ tầng giao thông xanh tại khu vực Đông Nam Bộ.Ford Việt Nam ra mắt Everest, Ranger và Ranger 2026 tại Việt Nam
Ford Việt Nam giới thiệu dải sản phẩm Ranger và Everest phiên bản nâng cấp, tiếp tục hoàn thiện hai dòng xe chủ lực với hiệu năng mạnh mẽ hơn, công nghệ thông minh hơn cùng thiết kế được làm mới. Những cải tiến này được phát triển dựa trên nhu cầu thực tế của khách hàng, mang đến nhiều lựa chọn hơn cho đa dạng mục đích sử dụng từ công việc, gia đình đến các hành trình khám phá phiêu lưu.BYD DOLPHIN 2026 giá 499 triệu đồng ra mắt tại Việt Nam
BYD Việt Nam chính thức giới thiệu BYD DOLPHIN 2026 mới, mẫu xe thuần điện thuộc phân khúc hatchback đô thị cỡ B, được nhập khẩu nguyên chiếc từ Thái Lan.Toyota duy trì sức mua với chương trình ưu đãi lớn trong tháng 4
Thương hiệu xe ngoại hàng đầu tại Việt Nam đẩy mạnh chương trình ưu đãi đến 75 triệu đồng cho khách hàng mua xe trong tháng 4.Star Camp 2026 – kết nối cộng đồng, lan tỏa tinh thần phiêu lưu Mitsubishi
Star Camp 2026 – hành trình dã ngoại dành riêng cho cộng đồng chủ xe Mitsubishi – đã trở thành điểm nhấn đáng nhớ trong những ngày cuối tháng 3. Trong không khí rộn ràng của mùa xuân, gần 40 gia đình đã cùng nhau lên đường tham dự sự kiện cắm trại quy mô lớn đầu tiên do Mitsubishi Motors Việt Nam tổ chức.











